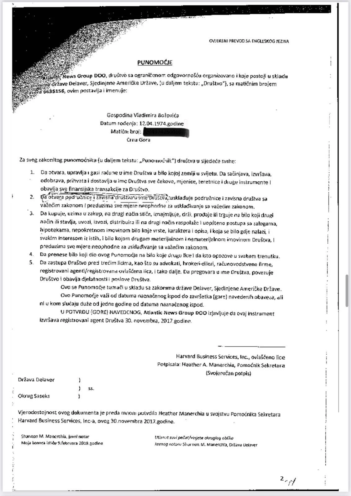
Rektor Univerziteta Crne Gore Vladimir Božović osnivač je offshore firmi u Delaware-u preko kojih se, na nezakonit način, finansiraju platforme na kojima se širi vjerska i nacionalna mržnja i netrpeljivost, saopštio je Miloš Nikolić, portparol Demokratske partije socijalista Crne Gore.
"Takođe, na ovaj način se i finansiraju na desetine stranica i stotine botova koji su pod kontrolom samog rektora a koji, po njegovim uputstvima, proganjaju sve one koji misle drugačije i aktivno promovišu politiku velikosrpskog nacionalizma i podržavaju rusku agresiju na Ukrajinu.
Portal IN4S čiji je Božović vlasnik, a koji se upravo finansira na ovakav način i to novcem sumnjivog porijekla prepoznat je u izvještaju State Departmenta kao dio ruskog propagandnog ekosistema u Crnoj Gori. Sve to nije smetalo oslobodiocima od 30. avgusta da upravo Božovića, čija je životna misija usmjerena isključivo na rad protiv interesa Crne Gore, postave na čelo vjerovatno i najvažnije institucije u državi", navodi Nikolić.
Braniće se, kako kaže, rektor i ovog puta ćutanjem.
"Tihovanjem kojim nastoji pokazati mudrost i održati mistiku i intrigu Božović zapravo samo krije sopstveni strah budući da nema hrabrosti da prljave poslove obavlja sam već za takve stvari unajmljuje razne raičeviće, ivanoviće, peroviće i ostalu poslugu iz raznih oblasti.
Ipak, Demokratska partija socijalista neće ćutati već ćemo nastaviti da ukazujemo na Božovićeve radove čija je funkcija najbolji sinonim degradacije Crne Gore nakon 30. avgusta. Vjerujemo da dovijeka neće ćutati ni Tužilaštvo već da će provjeriti sumnjivo poslovanje rektora i konačno pronaći ko je u sistemu nadležan za suzbijanje govora mržnje u Crnoj Gori", navodi Nikolić koji je uz saopštenje dostavio medijima i fotografije.

.

.

.

.

.


Licina
Šta ste očekivali od kadrovskih rešenja? Nije ovo ništa još. Svaki Gradjanin bi danas trebao da bude novinar i doprinese spašavanju Države od (epidemije) koja nas je zadesila. Kao osmatrači ništa a ovako da ih fatamo svaki dan ponedje imamo sa čim. Pa dako se i Zakon vrati opet?!
cetinje
Kreni Vukase Radonjicu ako imas ista ljudsko u sebi(ma tesko)ili mozda da te "neko gurne da upalis"zlosrecni sine krennii.
Petar
A sto koga to cudi?Doveli su izraelske strucnjake za df i pes kampanju, ovi koriste cak iz Dalawar-e strucnjake, a mi se ovdje na komentare palimo i grijesimo padeze.Nije bas lako unistit drzavu,iako kao sto vidimo nije ni puno tesko."ni najbolji domacin ne moze stec,sto bitanga moze rastec".